在食品工業中,糖分的準確識別與定量對于產品質量控制(如口感、質地)、合規性標注(如“無乳糖”聲明)、真實性驗證(如蜂蜜摻假檢測)以及營養監控至關重要。蔗糖、乳糖、麥芽糖和海藻糖是四種常見的二糖,它們分子式和分子量相同,但結構和物理性質各異。傳統的分析方法,如高效液相色譜法,雖然精確,但通常耗時、成本高且需要復雜的操作。因此,食品行業迫切需要一種快速、簡便且成本低廉的替代技術來進行日常質量監控。

時域核磁共振(TD-NMR)技術以其分析速度快(數秒內)、儀器體積小、維護成本低以及對樣品無損等優勢,展現出解決這一需求的巨大潛力。本案例展示了如何利用一臺簡化版的TD-NMR儀器,通過分析水溶液中二糖的弛豫行為,實現對這四種二糖的快速鑒別與定量。
本案例研究旨在探索一種簡化版的時域核磁共振(TD-NMR)技術在食品二糖表征方面的應用潛力。具體目標包括:
快速識別:驗證TD-NMR能否通過分析弛豫信號,快速區分蔗糖、乳糖、麥芽糖和海藻糖這四種常見的、分子式與分子量相似的二糖。
簡便定量:探究能否利用TD-NMR信號特征,建立與糖濃度相關的標準曲線,實現對溶液中二糖含量的快速、簡便定量。
方法評估:評估該簡化版TD-NMR方法在用戶友好性、分析速度和成本效益方面的表現,并明確其技術局限性。
樣品:分析純的蔗糖無水物、麥芽糖一水合物、海藻糖二水合物、α-乳糖一水合物和β-乳糖無水物。
溶劑:去離子水。
樣品制備:根據不同二糖的溶解度,使用去離子水配制一系列不同濃度的糖溶液。為避免溫度波動影響,所有配制好的溶液均在32°C的密閉試管中靜置至少一小時。
數據采集:將處理好的樣品放入分析儀中。在0.5 T的磁場強度和32°C的恒溫條件下,采用CPMG脈沖序列采集自旋-自旋(T2)弛豫數據。為確保數據可靠性,每個樣品進行多次重復測量。
數據分析:對采集到的原始弛豫曲線進行處理,消除偽峰,并根據樣品質量和掃描次數進行歸一化。重點分析T2弛豫分布曲線中的主峰和次級峰,記錄它們的弛豫時間(T2)和峰面積。
TD-NMR成功獲得了所有二糖溶液的T2分布曲線。關鍵發現是:

圖1:不同濃度二糖溶液的NMR弛豫曲線
所有二糖溶液均顯示出兩個可區分的峰:一個主峰(T2Main)和一個次級峰(T2Secondary)。而純水僅有一個主峰,無次級峰。
麥芽糖的行為獨樹一幟,它產生了兩個分離的次級峰,這是其他三種二糖所沒有的“指紋”特征。

圖2. 不同峰面積比值與糖濃度的關系(SM:主峰面積;SS:次級峰面積;ST:總峰面積)

圖3. 弛豫時間隨糖濃度的變化

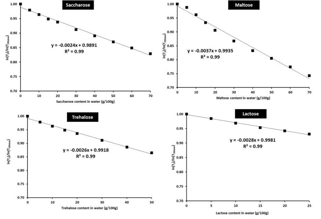
圖4. 主峰弛豫時間與糖濃度的線性相關性
隨著二糖濃度的增加,主峰和次級峰的弛豫時間均向左移動(即T2值減?。?,這表明糖分子的加入限制了水分子的流動性。
次級峰弛豫時間排序:在可比濃度下,四種二糖的次級峰弛豫時間遵循明確的順序:
乳糖 > 海藻糖 > 蔗糖 > 麥芽糖。
具體范圍:乳糖 (300–460 ms) > 海藻糖 (130–330 ms) > 蔗糖 (100–260 ms) > 麥芽糖 (10–190 ms)。
這種差異源于各二糖不同的水合能力、分子間氫鍵強度以及溶液粘度。例如,乳糖親水性最強,與水結合更緊密,限制了質子運動,因而T2較長;而麥芽糖分子間作用力強,易形成大簇,導致質子弛豫極快,T2很短。
通過計算次級峰面積與總峰面積的比率(SS/ST),研究人員找到了另一個有效的鑒別指標:
在20 g/100g水的標準濃度下,SS/ST比率可將二糖分類:
蔗糖: SS/ST< 2.5%
海藻糖: 2.5% < SS/ST< 4.5%
乳糖: SS/ST > 4.5%
麥芽糖: 直接通過觀察兩個次級峰識別。
基于以上發現,我們提出一個實用的TD-NMR二糖鑒別流程:
將未知樣品配制成約20 g/100g水的溶液。
使用TD-NMR采集其T2弛豫譜。
觀察譜圖:若出現兩個次級峰,則判定為麥芽糖。
若只有一個次級峰,則:
計算其SS/ST比率,或測量其次級峰T2弛豫時間。
根據上述閾值范圍,即可鑒別出是蔗糖、海藻糖還是乳糖。
本案例研究充分證明,簡化版TD-NMR技術是一種非常高效、可靠的二糖表征工具。它無需復雜的前處理,在幾分鐘內即可通過分析T2弛豫譜中的“指紋”信息——包括次級峰的數量、弛豫時間(T2Secondary)以及峰面積比率(SS/ST)——來快速區分蔗糖、乳糖、麥芽糖和海藻糖。這種方法為食品企業在原料驗收、生產過程控制和成品質檢環節提供了一種前所未有的快速篩查方案,兼具成本效益與操作簡便性,具有極高的實際應用價值。
電話:400-060-3233
售后:400-060-3233
返回頂部