低溫會影響到細胞正常的生理功能,甚至造成細胞的破裂死亡,影響植物的生長發育或導致植物死亡。這些均與植物的水分狀態密切相關。為什么很多耐寒性植物能在低溫下長期正常生存?它們內部水分到底是何種狀態?

溫帶多年生草本植物中,越冬能力主要取決于根部而非頂部的非結構性碳水化合物的濃度。相反,熱應激也是夏季限制牧草生長的主要因素。
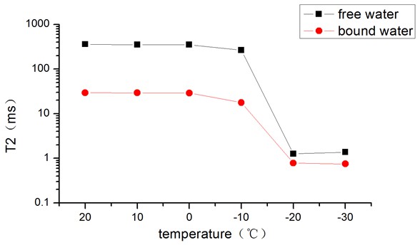
植物體內的水分有自由水和結合水兩種。所謂”結合水”,僅僅看其化學組成,和自由水沒有太大的區別,只是自由水的分子排列順序相對凌亂,可以到處流動,而結合水的分子卻在植物組織周圍排列得十分整齊,和植物組織親密地”結合”在一起。
結合水的性質和自由水的區別很大,比如自由水在攝氏零度就開始結冰,但結合水卻比普通水的結冰溫度低得多。寒冷的冬天,植物體內減少的只是自由水,而結合水的量卻保持不變,這樣結合水所占的比例反而提高了。由于結合水的結冰溫度要比攝氏零度低得多,因此耐寒植物當然就可以在嚴冬中傲視冰霜了。
低場核磁共振可以無損測定水的狀態變化, T1 弛豫時間和 T2 弛豫時間反映了水分子的運動而被用作生物組織中水動態的指標。由于細胞相關水的流動性和特性與細胞狀況密切相關,因此核磁共振成像代表了組織的生理圖譜,可用于研究細胞代謝的水動力學。

(1) T2 弛豫時間圖表明,水的狀態反映了葉和根的耐寒性和耐熱性;
(2)根葉的水分含量和水分受限程度與 T2 弛豫時間相關;
(3)通過測定 T2 弛豫時間可以說明葉子在-20℃、根在-10℃具有過冷能力;
(4)葉片中水更低的流動性可能在對溫度脅迫的響應中發揮重要作用。
(5)核磁共振成像可以反映出不同組織的凍結情況。
電話:400-060-3233
售后:400-060-3233
返回頂部